| 
   State Of Maine
                                      Estate Recovery Manual
 There Are 12
                                    Pages, Six On Each Page
 
 
 
  
 Table Of
                                        Contents 
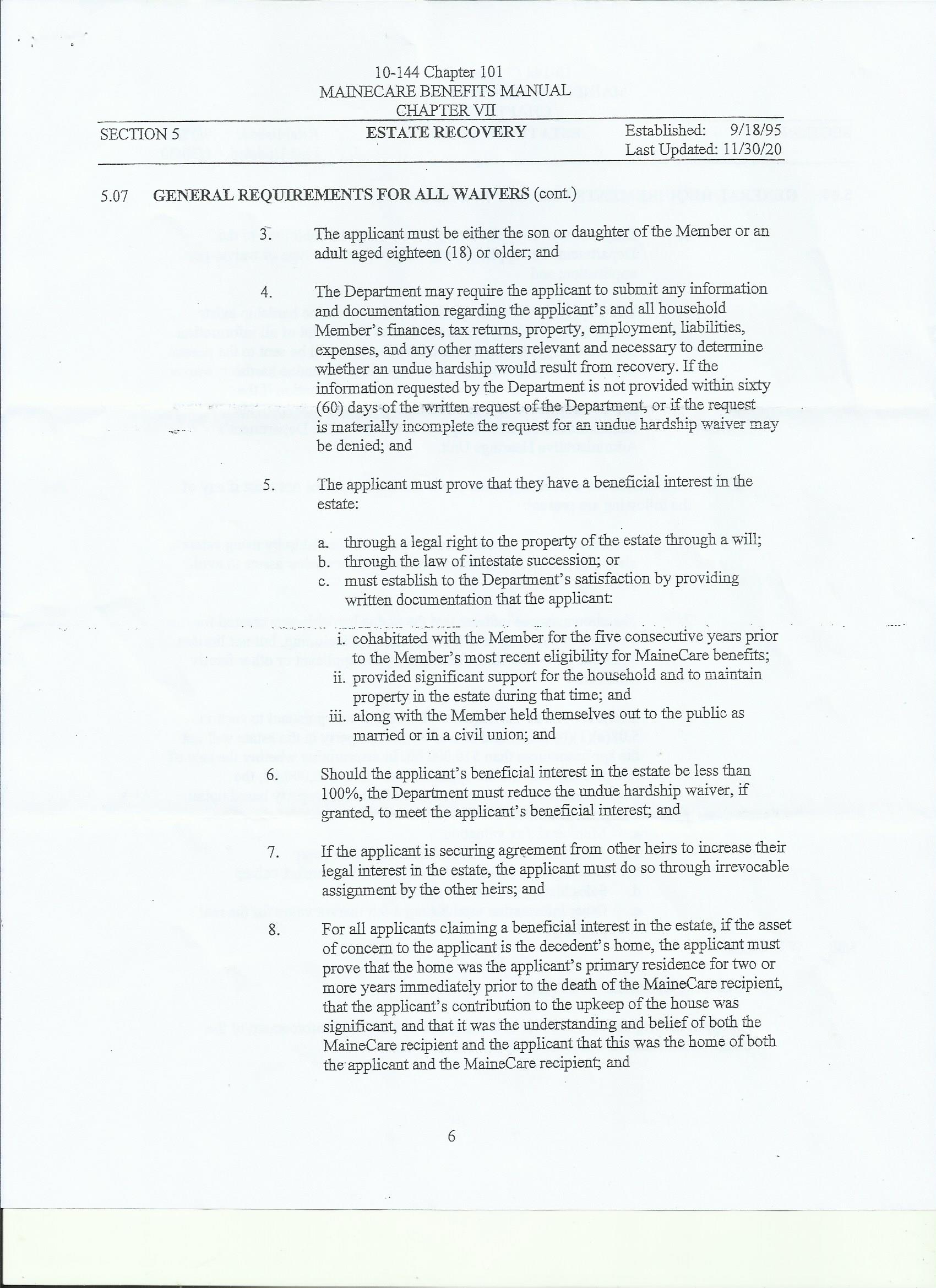
   I Believe
                                  That Maine Has A Five Year "Look Back"
                                  To Ensure You Gave Nothing Away
 (Car, House, Mobil Home, ) Within The
                                  Five Years Prior To Your Death.
 
 
  
  
 
 "Conveyed
                                  To A Survivor, Heir, Or Assignee Of
                                  The Deceased Including Joint Tenancy"
                                
 
  
 A
                                              Wife Or Child May Put It
                                              Off Until They Pass Away
 
   All Real and Personal
                                    Property Included In The Estate
 
 
 
 
  
 
 
 
 
 
 
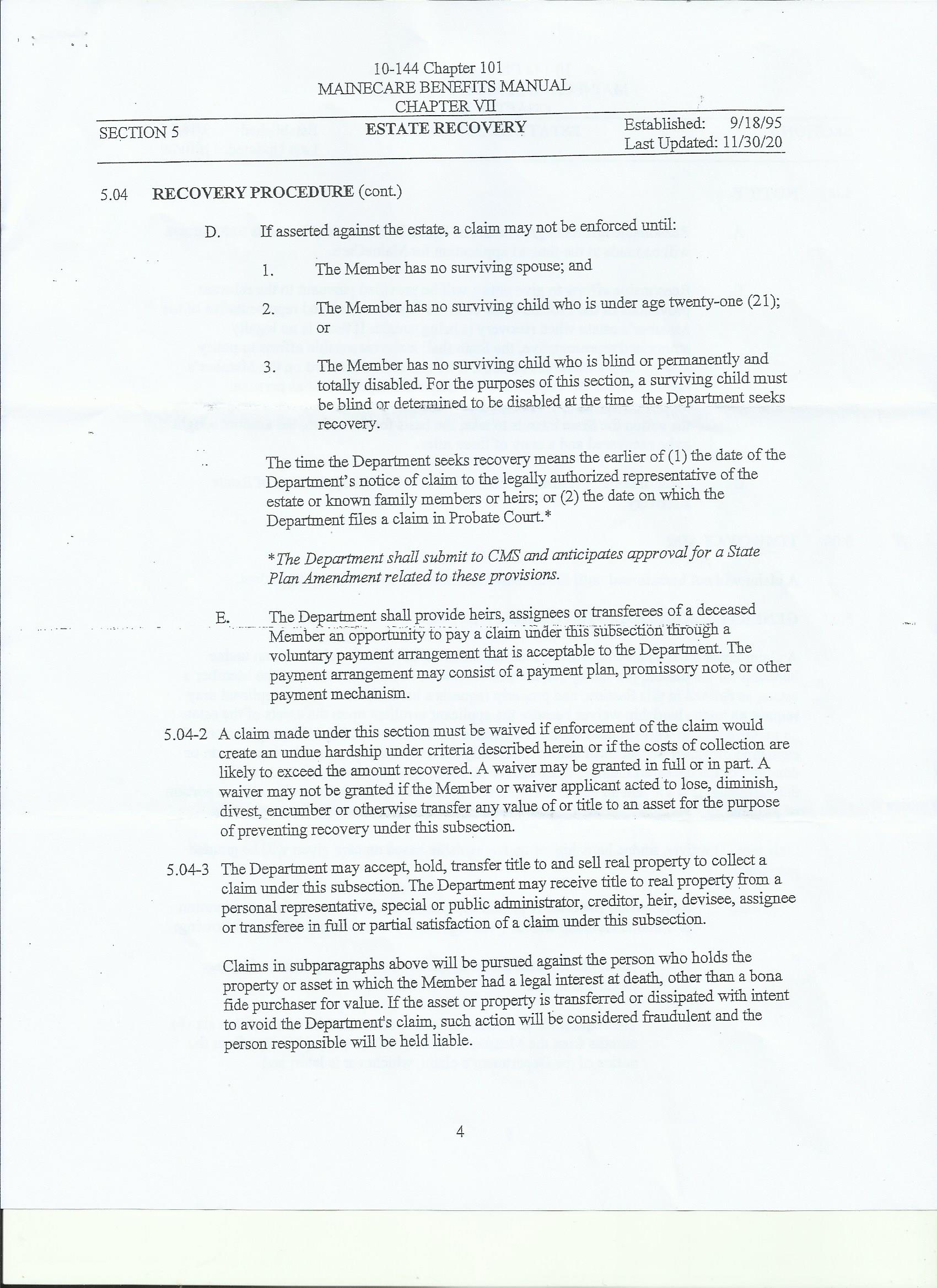
 Cannot Be
                                          Enforced UNTIL: Meaning They
                                          Can Refile
 
 
 They
                                                    Give You A Chance To
                                                    Pay The Debt.
 
 
 So You
                                        Can Apply For A Waiver, But I
                                        Believe It Is Only Once Per
                                        Estate. 
 
 
 
 
 
 
 
 
 
 Does This Mean
                                          You Put One In When A Parent
                                          Passes, That You Cannot Pass It In
                                          Your Own Will?
 
 
 
  
 
  
 
 If Your Thinking Of
                                    Asking For A Waiver It Would Be Best
                                    To Consult An Attorney.
 
 
 
  
 
  
 
 Pages 7 - 12
 
 
 
 
 
 |