The More U Know
Home
Is Your Family Home Really Yours?
D.H.H.S. Letter
And Claim To The Estate
Maine Estate Recovery Manual
Pages 1 - 6
Maine Estate Recovery Manual Pages 7-12
State Of Maine Estate Recovery Manual
Page 2, - Page -7 - 12
PDF PDF PDF PDF PDF PDF
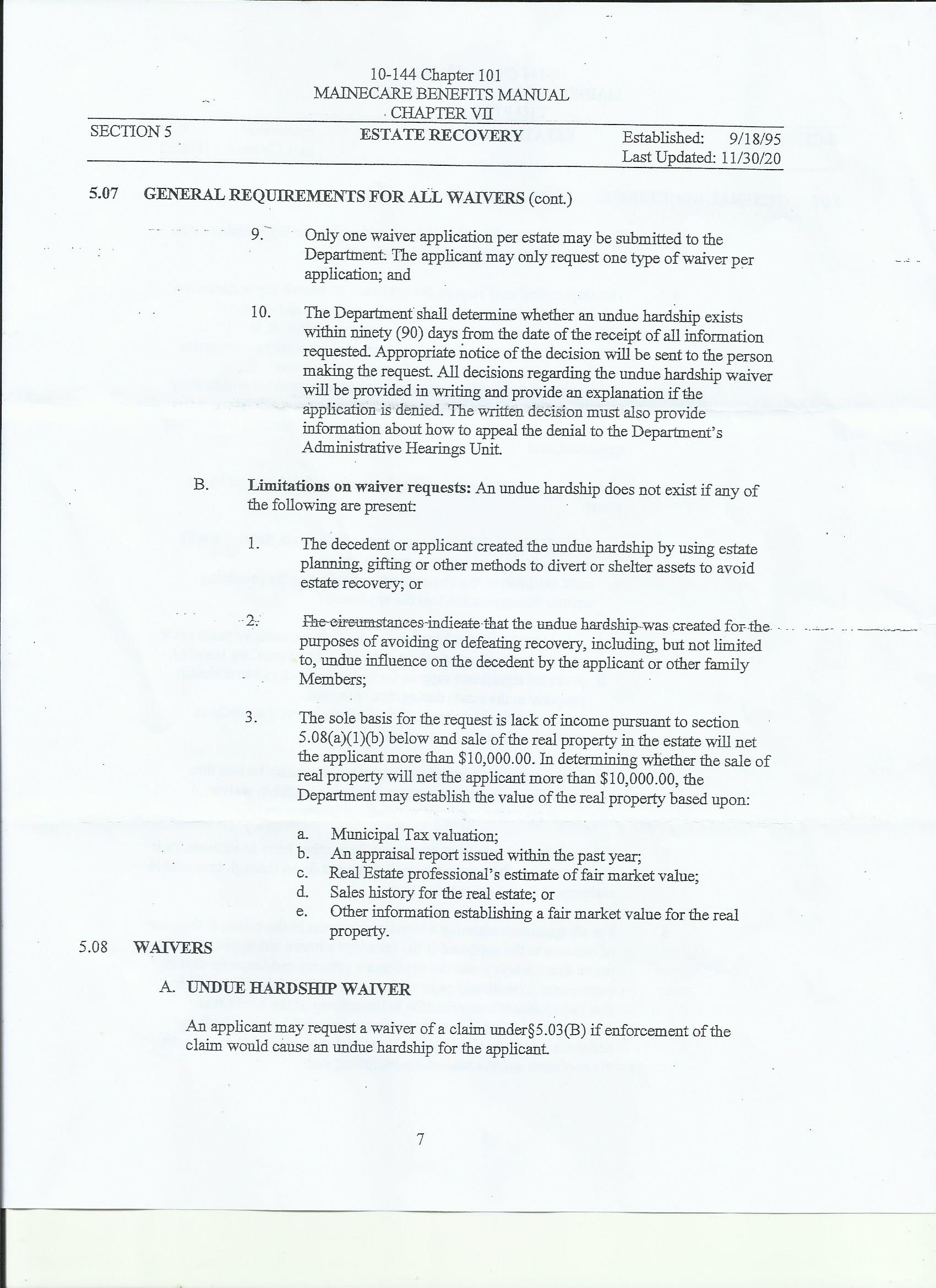
Page 7
-
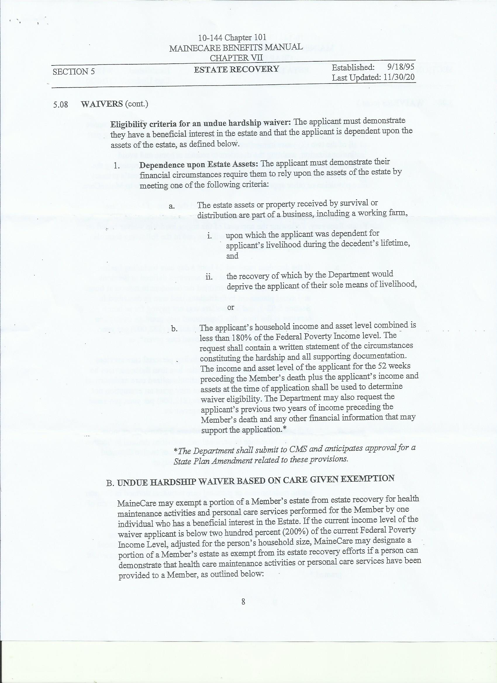
Page 8
-
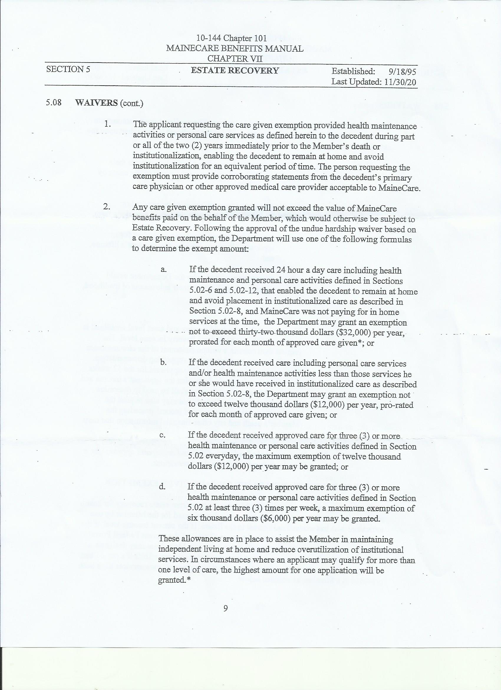
Page 9
-
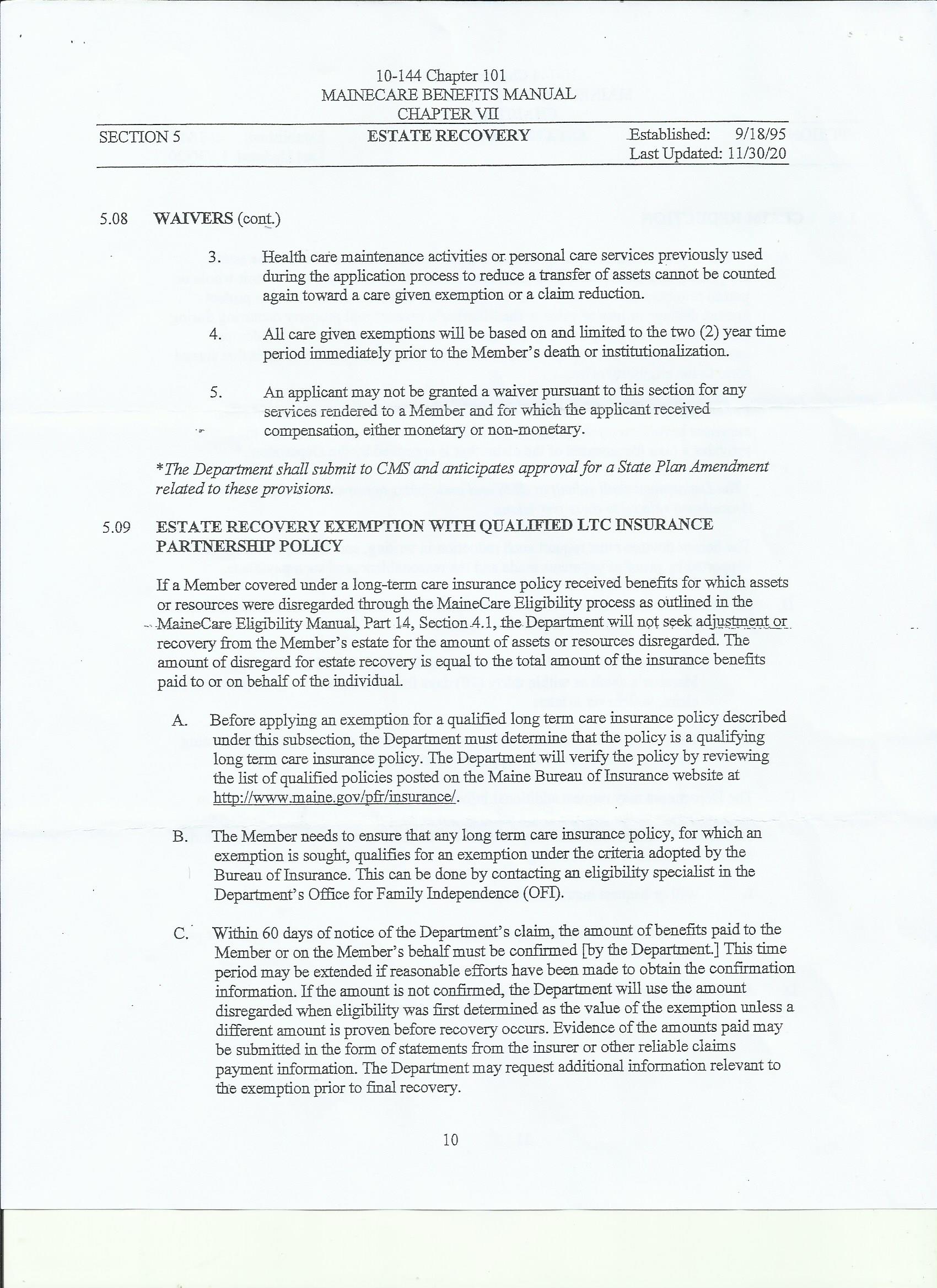
Page 10
-
Page 11
-
Page - 12
Waivers - Again, I Would Talk To An Attorney
If Your Thinking Of Asking For A Waiver It Would Be Best To Consult An Attorney.
Home
Copyright 2021 ©
Stock Footage |
Design
by www.krishnacreationz.com